Question: Reference: Calculus and Its Applications, 12th, by Marvin L. Bittinger and David Ellenbogen Book Elementary Applied Calculus I need help with questions These are practice
Reference: Calculus and Its Applications, 12th, by Marvin L. Bittinger and David Ellenbogen Book
Elementary Applied Calculus
I need help with questions
These are practice questions
Links to Book Below:
1. Calculus And Its Applications, Brief Version 12th edition | Print ISBN - 9780135164884, eText ISBN - 9780135225103 | VitalSource
2. Bittinger, Ellenbogen, Surgent & Kramer, Calculus and Its Applications: Brief Version, 12th Edition | Pearson






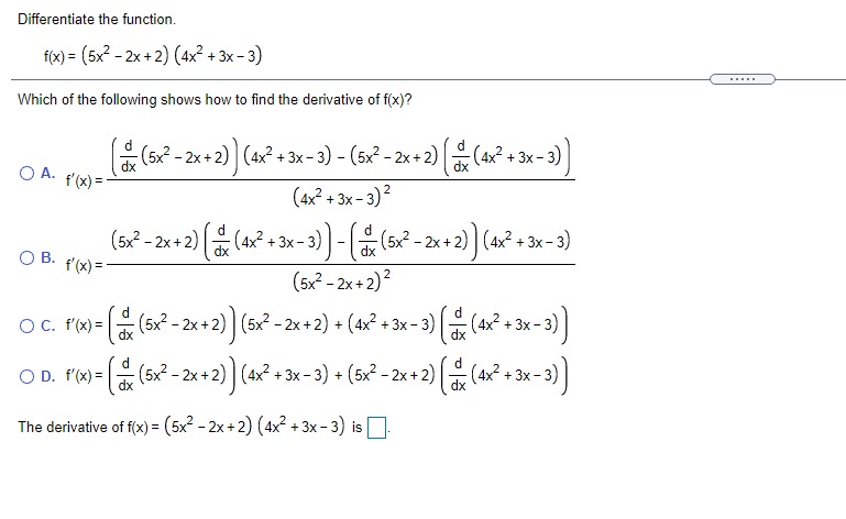
\fDraw a graph to match the description given. f(x) is increasing over ( - co, - 5) and decreasing over ( - 5,00). Choose the correct graph below. O A. O B. O C. OD.The equation All] = 6000 gust gives the balance aftert years of an initial investment of 6000 dollars which pays 5.00% compounded continuously. a. Flnd a formula for E h. Find and interpret A'tB). Include appropriate units. c. Compare the approximation of $405 to the actual change. Report your answer to two decimal places. a.E=:| 51=D % (Round up to the nearest dollar. Interpret A16} = 405 O A- The future value of a 7' year investment of $6001 will be 6 more than the future value of a 6 year investment of $6000. 0 B- The future value of a 6 year investment of $6000 at 6.00% will be $l: more than the future value of a 6 year investment of $6000 at 5.00% O C- The future value of a T year investment of $6000 will he 6 more than the future value of a 6 year investment of $6000. O D- The future value of a 6 year investment of $6001 will be 6 more than the future value of a 6 year investment of $6000. c. AU} ME} = Cl dollars per year. (Round to two decimal places as needed.) Substance A decomposes at a rate proportional to the amount of A present. a) Write an equation that gives the amount A left of an initial amount A, after time t. b) It is found that 10 lb of A will reduce to 5 lb in 3.2 hr. After how long will there be only 1 lb left? a) Choose the equation that gives A in terms of Ap, t, and k, where k > 0. O A. A(t) = Ag O B. A(t) = Age - kt O C. A(t) = Apekt O D. A(t) = A - kt b) There will be 1 lb left after hr. (Do not round until the final answer. Then round to the nearest whole number as needed.)Draw a graph to match the description given. G(x) is increasing over ( - co, - 2) and (2,co) and decreasing over ( - 2,2). Which of the following graphs matches the description? O A. O B. O C. O D. O O QDifferentiate the function. f(x) = (5x2 - 2x+2) (4x2 + 3x -3) Which of the following shows how to find the derivative of f(x)? dy (5x2 - 2x+ 2) (4x2 +3x-3) - (5x2 - 2x+2) dx (4x2 + 3x - 3) OA. f'(x) = (4x2 + 3x - 3)2 (5x2 - 2x +2) dx (4x2 + 3x - 3) - dx (5x2 - 2x + 2) (4x2 + 3x- 3) O B. f'(x ) = (5x2 - 2x +2) 2 O c. f'(x)= fox (5x 2 - 2x +2) (5x 2 - 2x + 2 ) + (4x7 + 3x- 3) (4x 2 + 3x- 3) O D. f'(x) = Ix (5x2 - 2x +2) (4x2 + 3x - 3) + (5x2 -2x +2) d dx (4x2 + 3x-3) The derivative of f(x) = (5x2 - 2x + 2) (4x2 + 3x - 3) is
Step by Step Solution
There are 3 Steps involved in it
Get step-by-step solutions from verified subject matter experts
