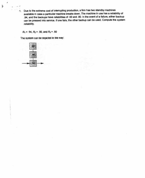
Question: Reliability without the backup components System Diagram P(A) P(B) P(C) P(D) -90 .70 95 .60 Reliability with the backup components System Diagram FID) 60 .



Step by Step Solution
There are 3 Steps involved in it
1 Expert Approved Answer
Step: 1 Unlock
Question Has Been Solved by an Expert!
Get step-by-step solutions from verified subject matter experts
Step: 2 Unlock
Step: 3 Unlock
