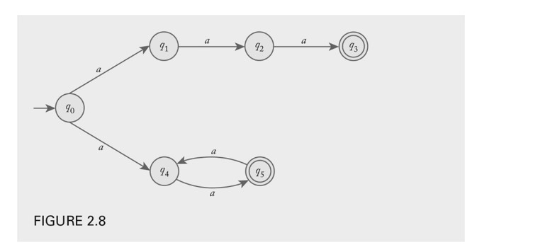
Question: rIGUKE 2 . 8 QUESTION 1 5 1 . Convert the nfa defined in Example 2 . 7 into an equivalent dfa. Write down all
rIGUKE QUESTION
Convert the nfa defined in Example into an equivalent dfa.
Write down all the transitions of both the DFA and NFA without drawing the diagram of the DFA.
The format of the transitions is going to be:
delta q a q q
Step by Step Solution
There are 3 Steps involved in it
1 Expert Approved Answer
Step: 1 Unlock
Question Has Been Solved by an Expert!
Get step-by-step solutions from verified subject matter experts
Step: 2 Unlock
Step: 3 Unlock
