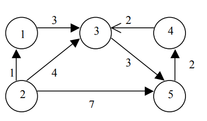
Question: Run Dijkstras algorithm on the graph shown below. The starting vertex is vertex 1. Show all intermediate steps 2 4 5 2 7 3 4
Run Dijkstras algorithm on the graph shown below. The starting vertex is vertex 1. Show all intermediate steps

2 4 5 2 7 3 4 2
Step by Step Solution
There are 3 Steps involved in it
Get step-by-step solutions from verified subject matter experts
