Question: (Scheme R5RS) (define (assemble comb nullv t a n b) (if (> a b) nullv (comb (t a) (assemble comb nullv t (n a) n
(Scheme R5RS)
(define (assemble comb nullv t a n b) (if (> a b) nullv (comb (t a) (assemble comb nullv t (n a) n b)))) (define (product t a n b) (assemble * 1 t a n b)) (define (sum t a n b) (assemble + 0 t a n b))
1a) Rewrite the assemble function so it uses tail recursion
1b) Use your newer assemble function to create a function that calculates the factorial
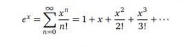
1c) Use your newer assemble function to create a function with the name (ex n k) which computes the approximation of e^x using the following series:

Thank you, will give 5 stars to the answer that does the whole question
+ -x+1= M8
Step by Step Solution
There are 3 Steps involved in it
Get step-by-step solutions from verified subject matter experts
