Question: (Scheme R5RS) (define (assemble comb nullv term a next b) (if (> a b) nullv (comb (term a) (assemble comb nullv term (next a) next
(Scheme R5RS)
(define (assemble comb nullv term a next b) (if (> a b) nullv (comb (term a) (assemble comb nullv term (next a) next b)))) (define (product term a next b) (assemble * 1 term a next b)) (define (sum term a next b) (assemble + 0 term a next b))
1a) Write a program with the function labeled (cat x) which uses the assemble function to computate the "nth" cat number

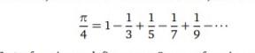
1b) Write a program with the function labeled (niz-p) using the assemble function for the following formula:

The first image belongs to 1a and the second image belongs to 1b
n 1 2n! (2.1) = n+k k for no n+1 (n+1)!! 2 1 la + 1 1 + 1
Step by Step Solution
There are 3 Steps involved in it
Get step-by-step solutions from verified subject matter experts
