Mathematics Questions and Answers April 27, 2018

Expert-verified solutions to help you succeed

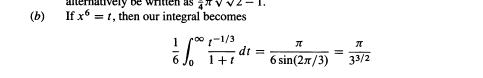
Showing 1200 - 1300 of 1501
  • 13 / 16