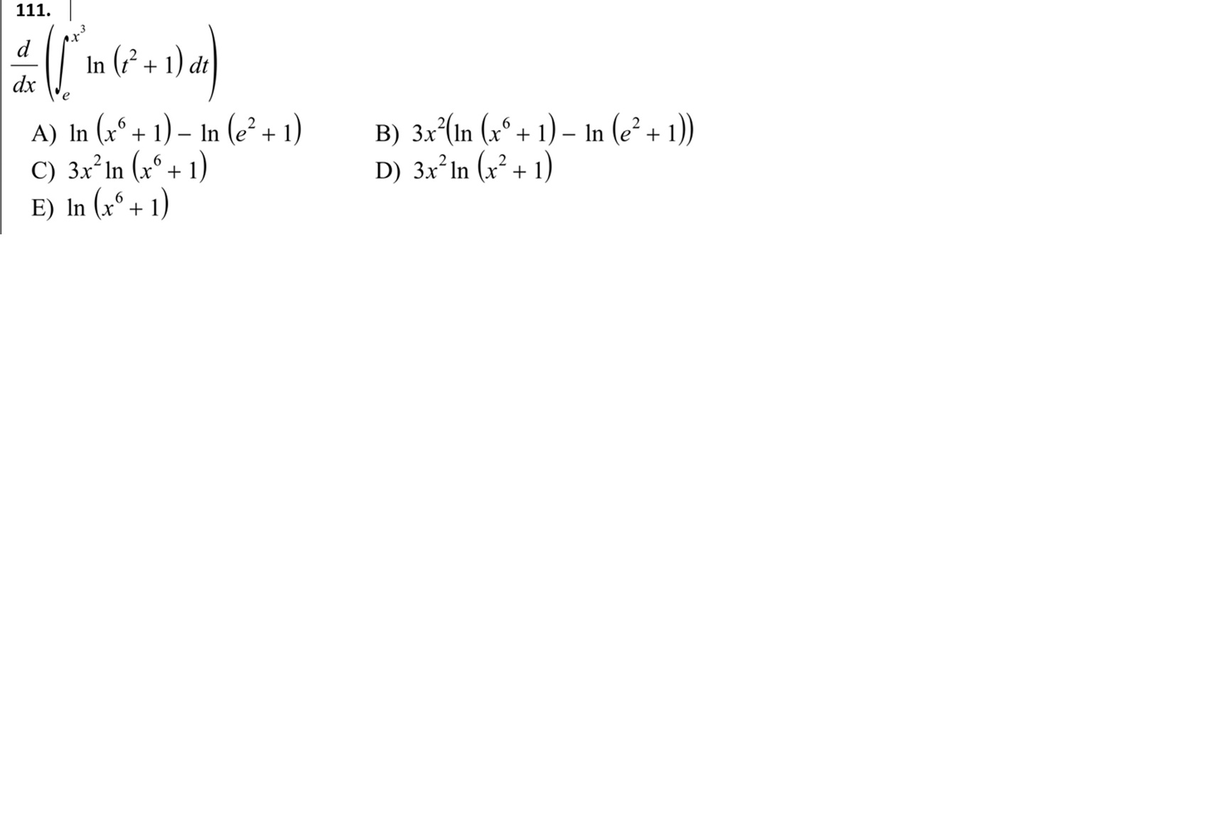
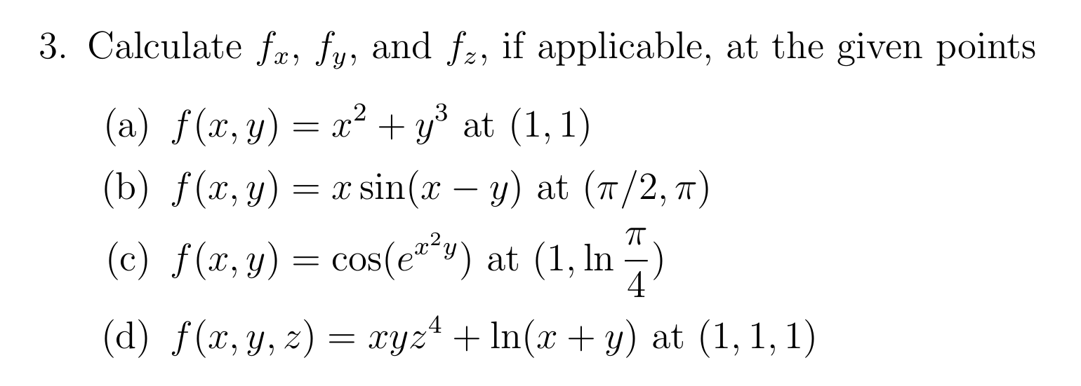
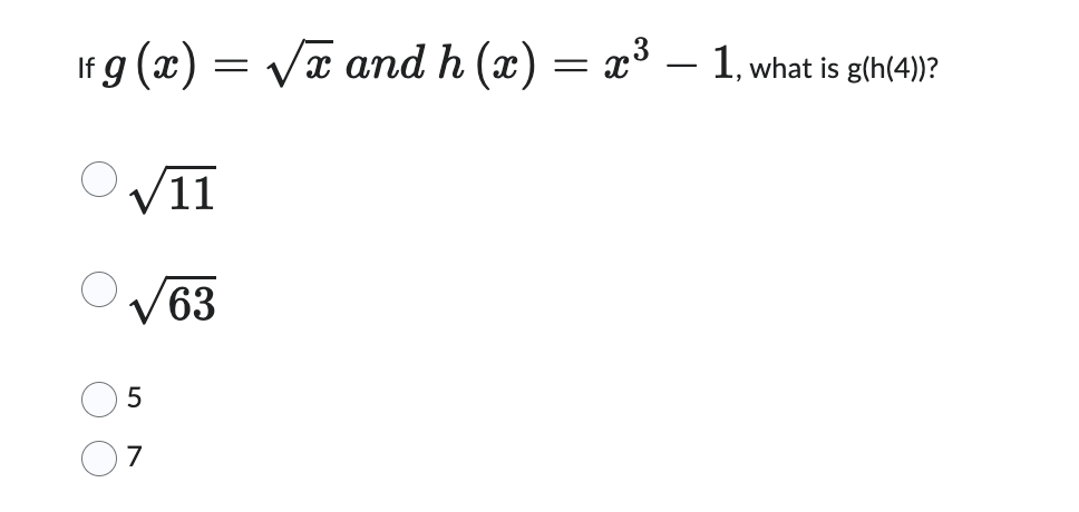
Mathematics Questions and Answers June 8, 2018

Expert-verified solutions to help you succeed

Showing 600 - 700 of 1500
  • 7 / 15