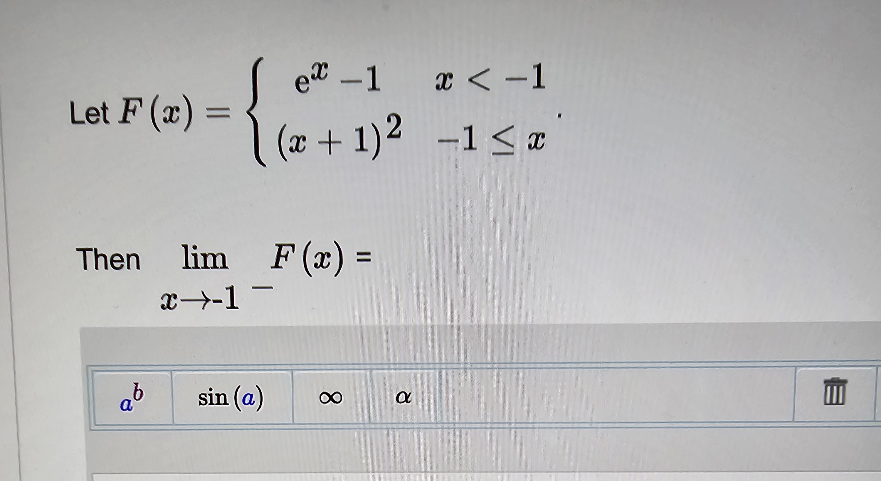
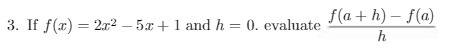
Mathematics Questions and Answers March 2, 2018

Expert-verified solutions to help you succeed

Showing 800 - 900 of 1506
  • 9 / 16