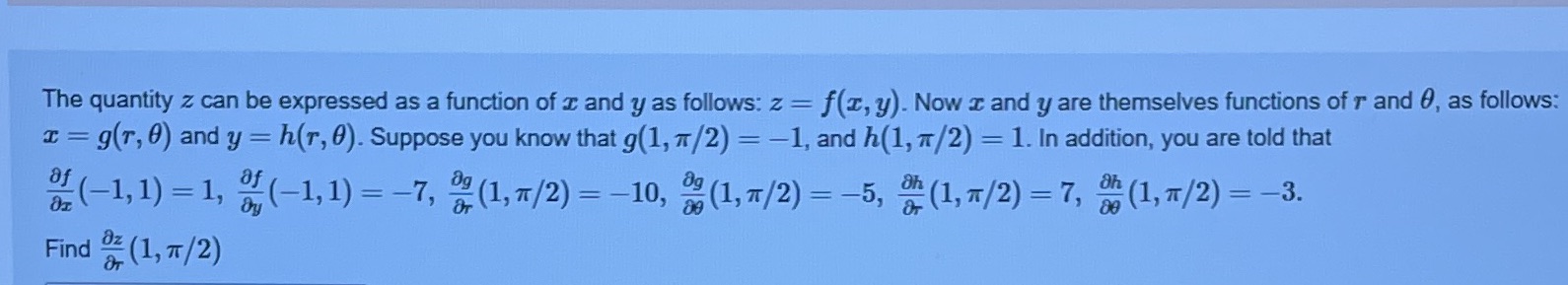
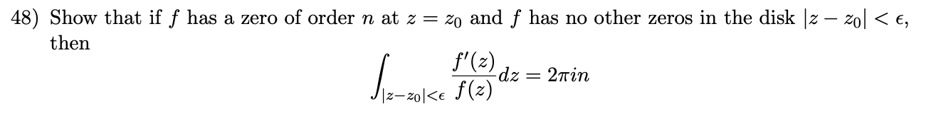
Mathematics Questions and Answers March 5, 2018

Expert-verified solutions to help you succeed

Showing 1200 - 1300 of 1502
  • 13 / 16