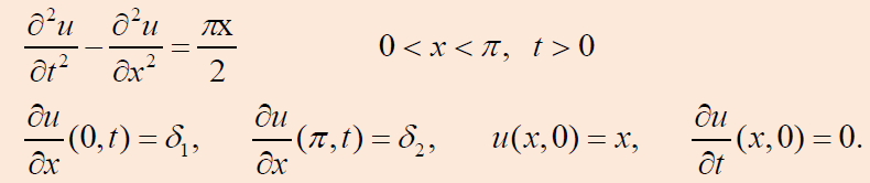
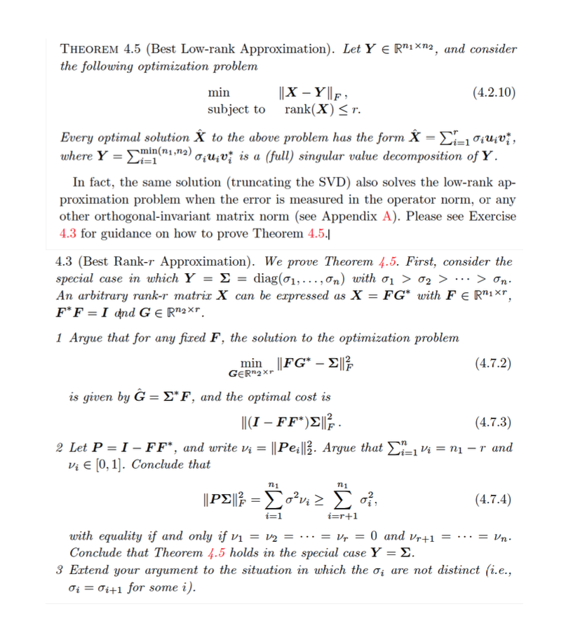
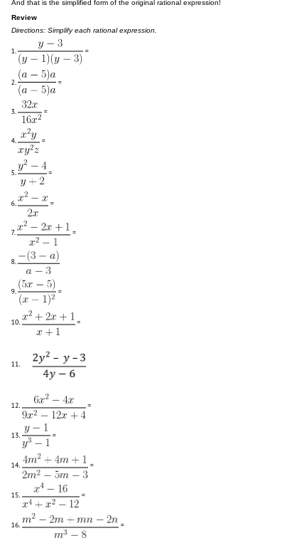
Mathematics Questions and Answers March 9, 2018

Expert-verified solutions to help you succeed

Showing 300 - 400 of 1500
  • 4 / 15