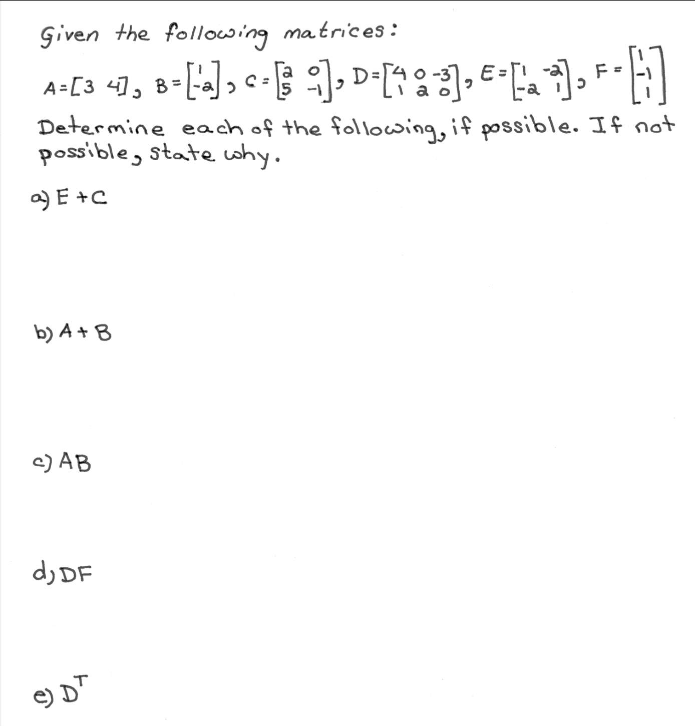
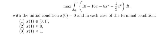
Mathematics Questions and Answers March 10, 2018

Expert-verified solutions to help you succeed

Showing 1100 - 1200 of 1505
  • 12 / 16