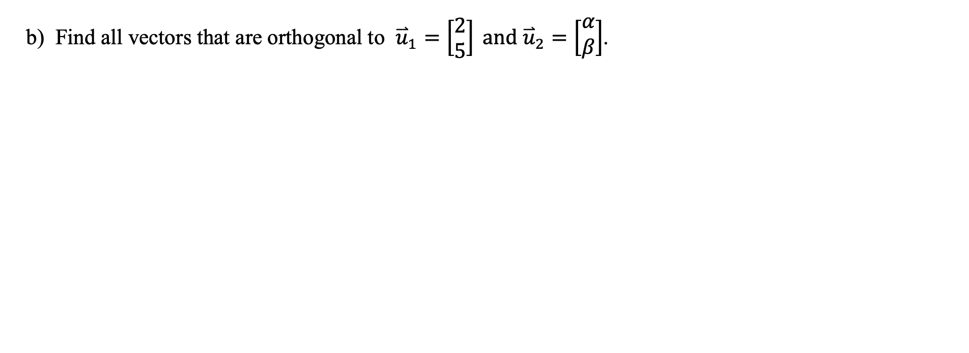
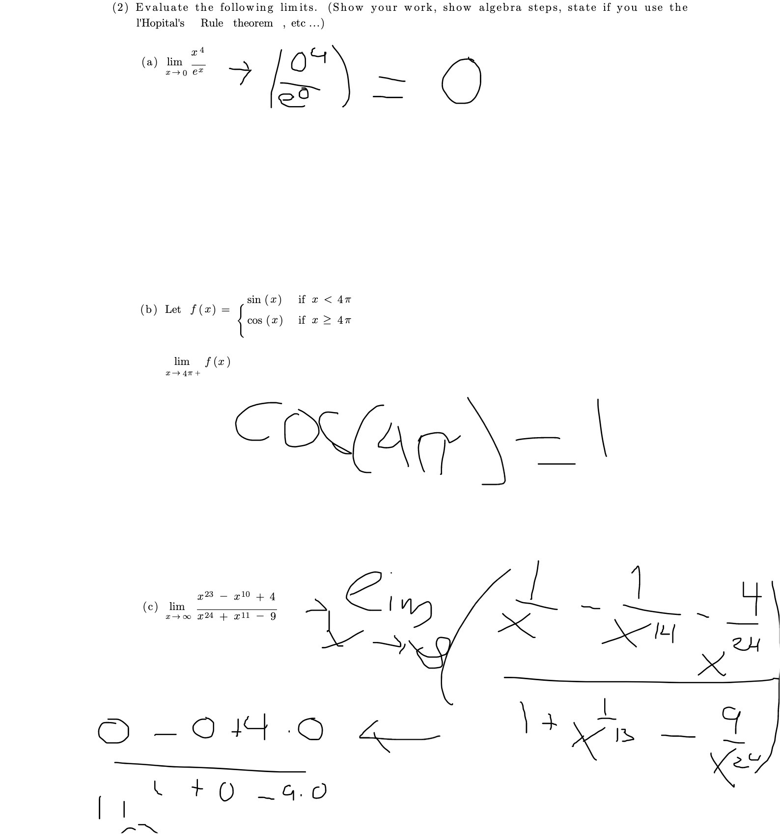
Mathematics Questions and Answers March 12, 2018

Expert-verified solutions to help you succeed

Showing 200 - 300 of 1500
  • 3 / 15