Mathematics Questions and Answers May 6, 2018

Expert-verified solutions to help you succeed

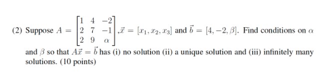
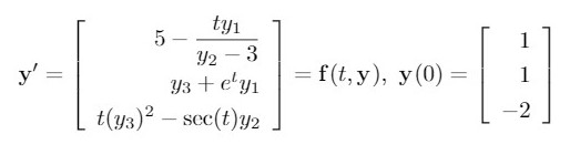
Showing 500 - 600 of 1501
  • 6 / 16