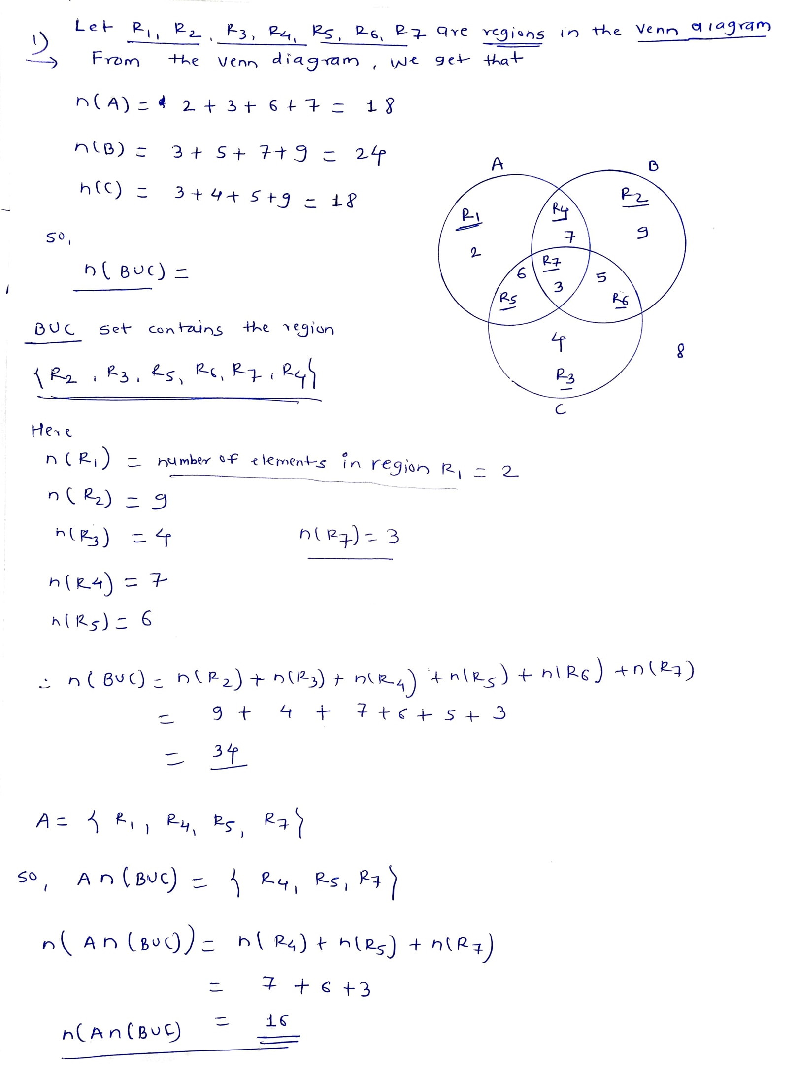
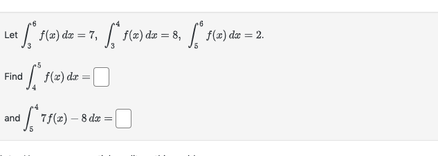
Mathematics Questions and Answers August 20, 2019

Expert-verified solutions to help you succeed

Showing 900 - 1000 of 1503
  • 10 / 16