Mathematics Questions and Answers November 22, 2019

Expert-verified solutions to help you succeed

Showing 700 - 800 of 1501
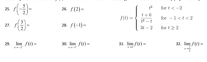
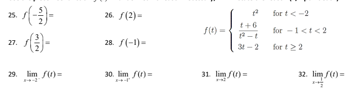
  • 8 / 16