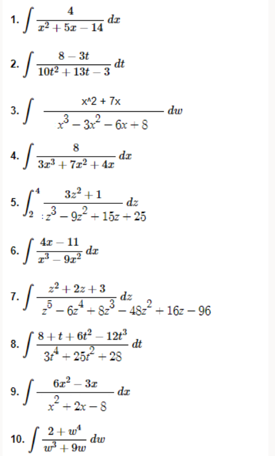
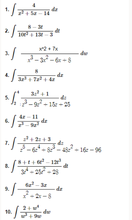
Mathematics Questions and Answers November 27, 2019

Expert-verified solutions to help you succeed

Showing 1000 - 1100 of 1508
  • 11 / 16