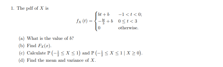
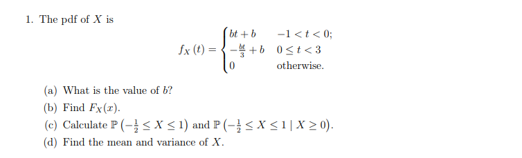
Mathematics Questions and Answers November 27, 2019

Expert-verified solutions to help you succeed

Showing 1300 - 1400 of 1508
  • 14 / 16