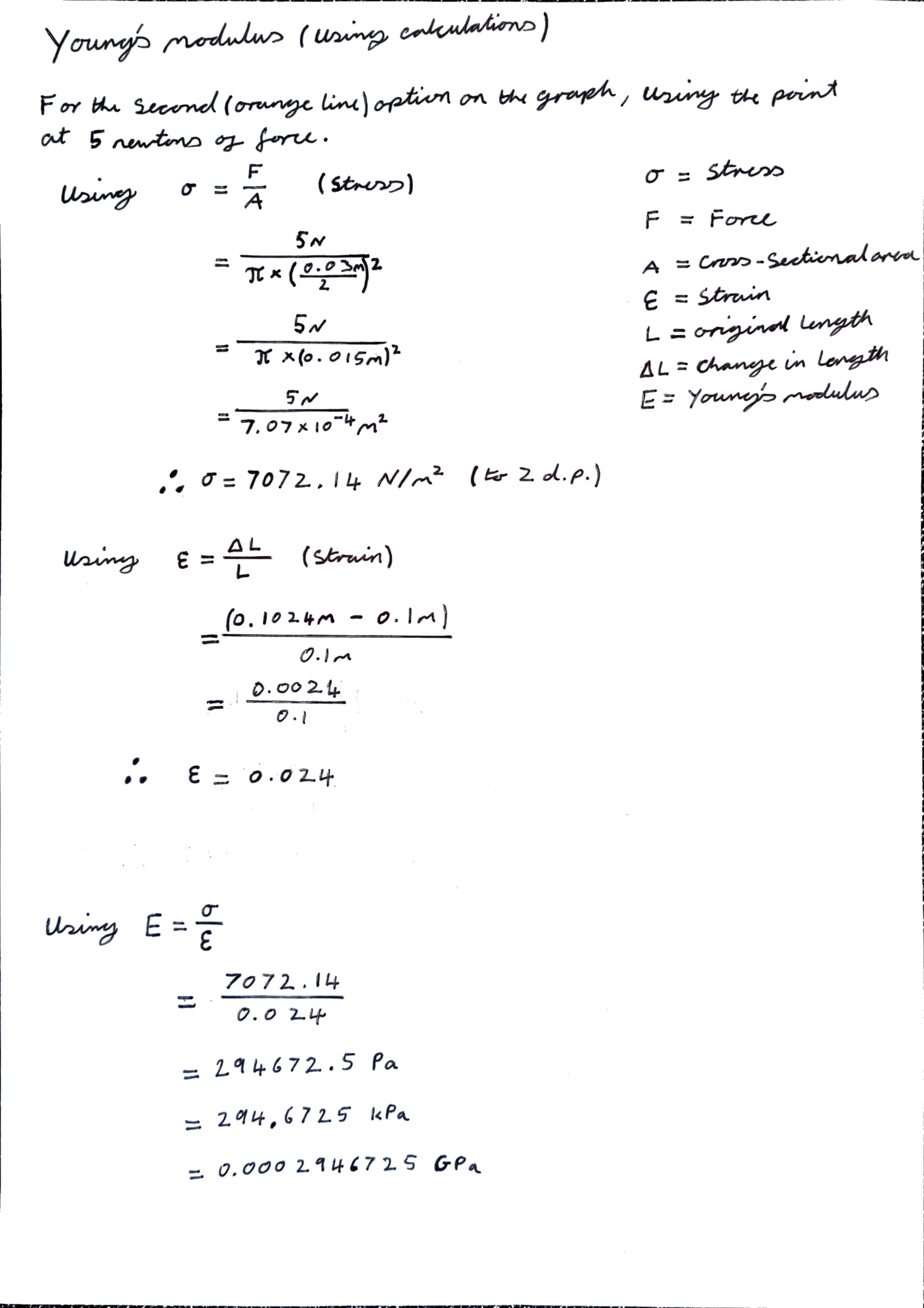
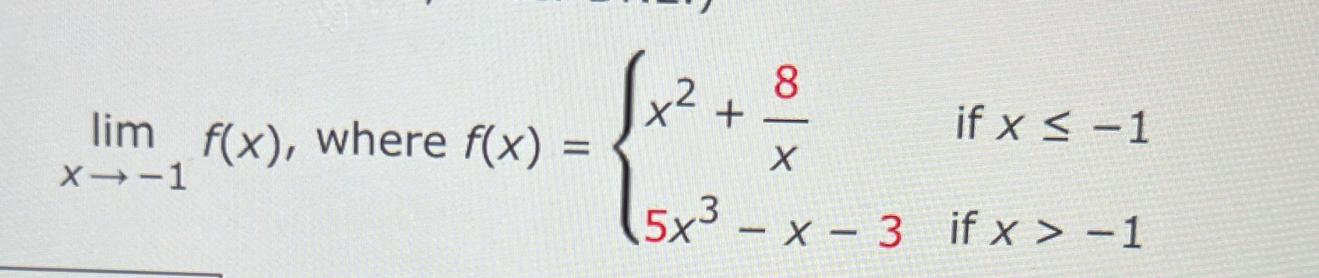
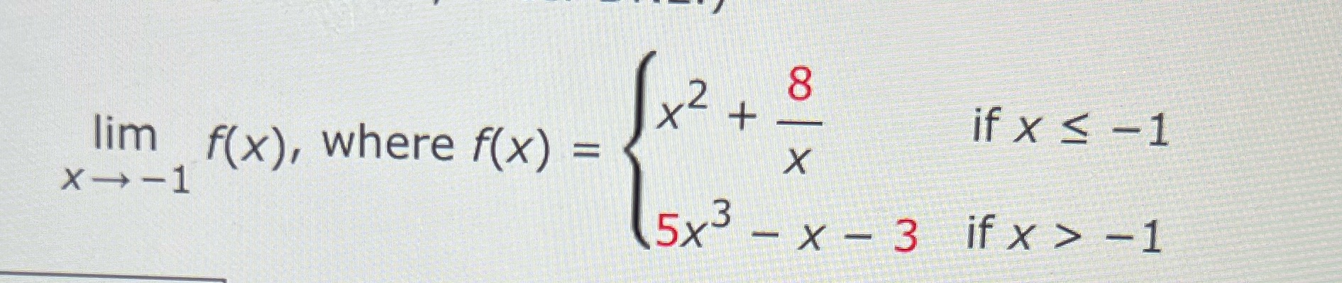
Mathematics Questions and Answers October 01, 2019

Expert-verified solutions to help you succeed

Showing 600 - 700 of 1501
  • 7 / 16