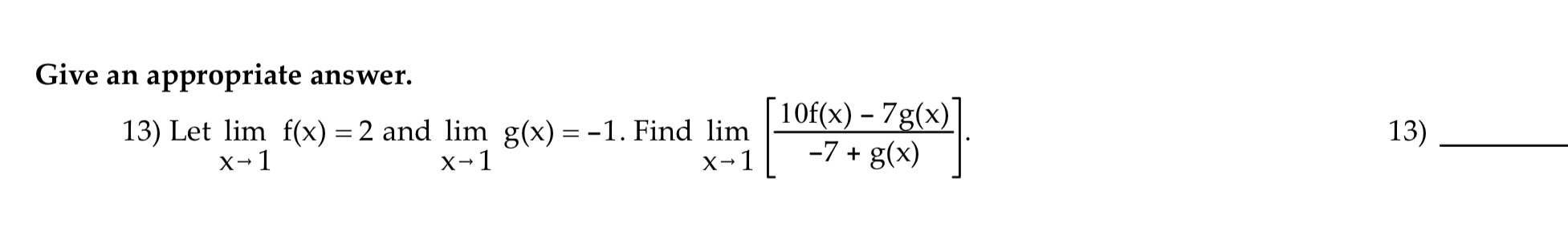
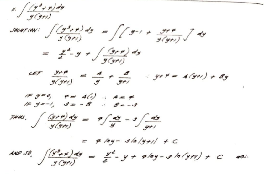
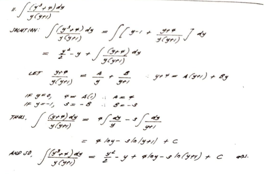
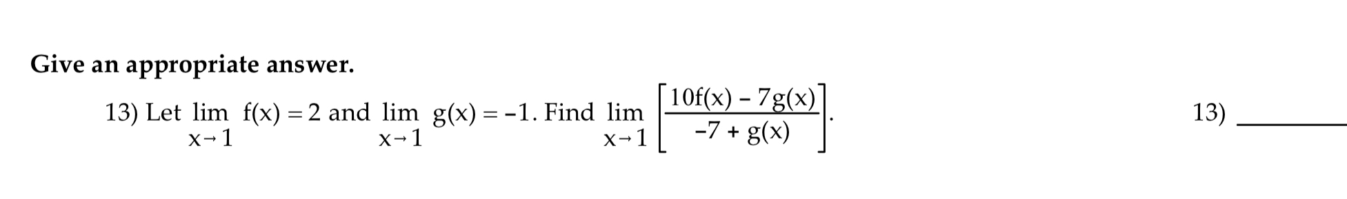
Mathematics Questions and Answers October 04, 2019

Expert-verified solutions to help you succeed

Showing 600 - 700 of 1500
  • 7 / 15