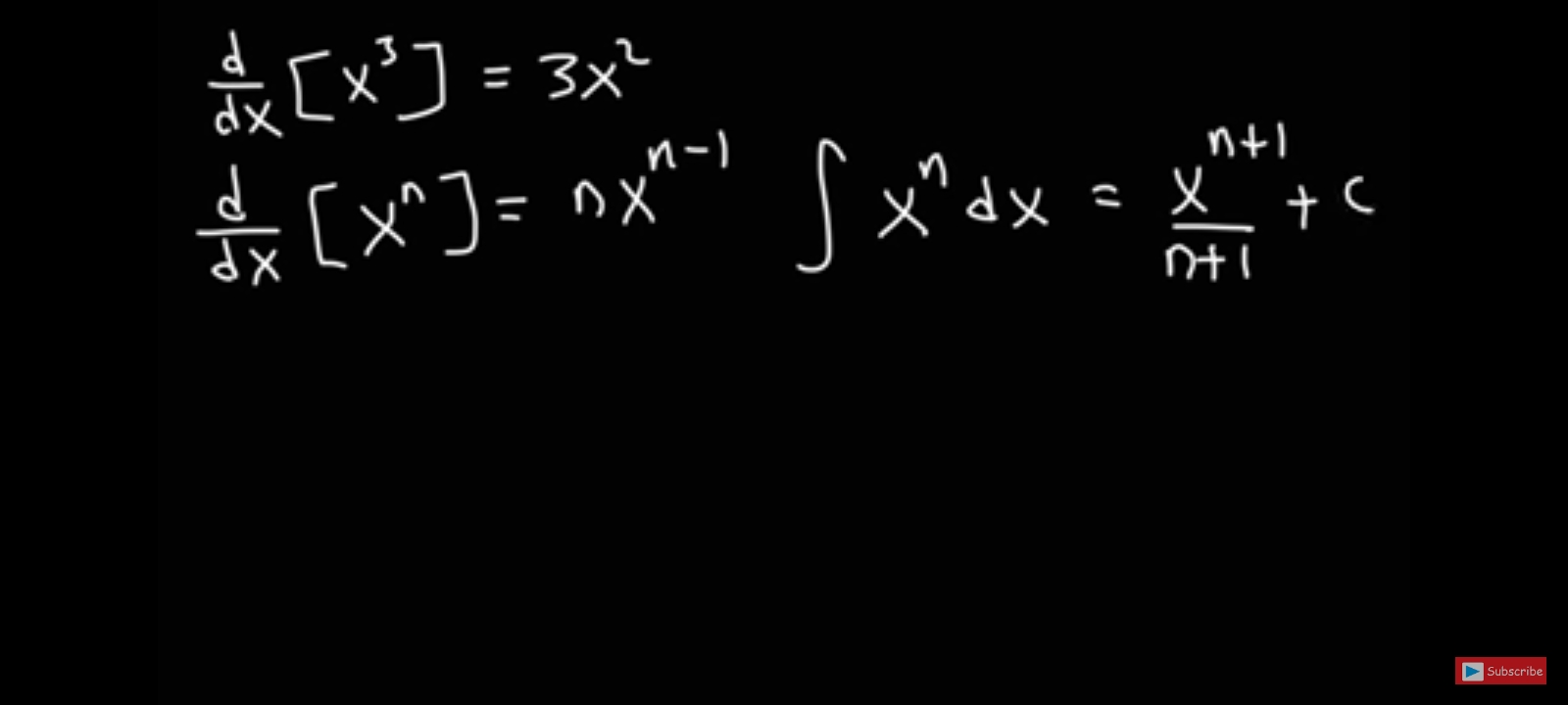
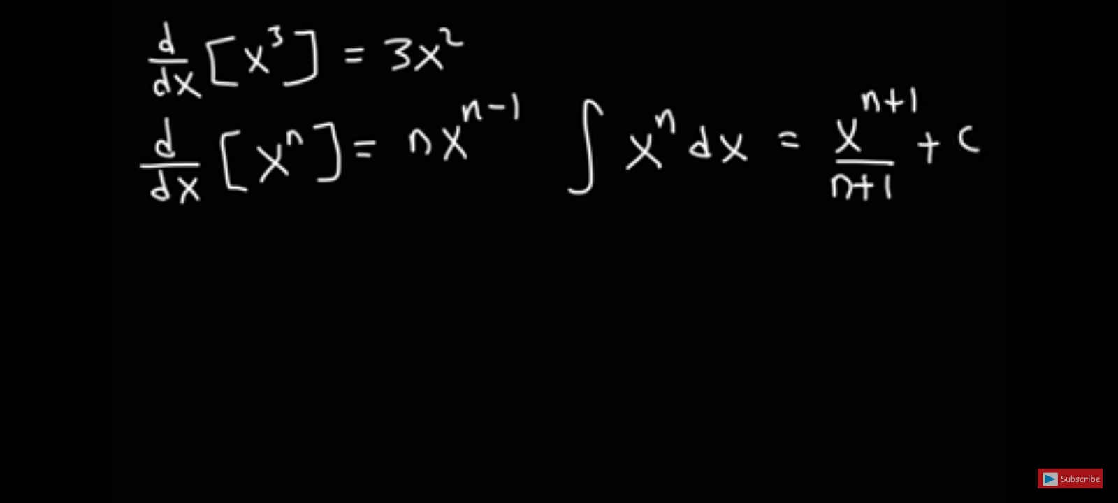
Mathematics Questions and Answers September 02, 2019

Expert-verified solutions to help you succeed

Showing 700 - 800 of 1502
  • 8 / 16