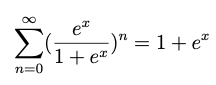
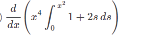
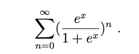
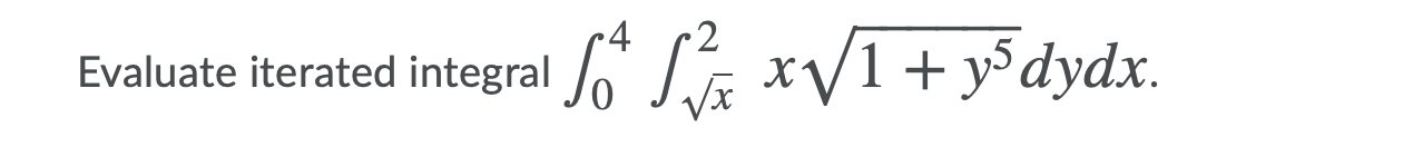
Mathematics Questions and Answers September 24, 2019

Expert-verified solutions to help you succeed

Showing 1100 - 1200 of 1504
  • 12 / 16