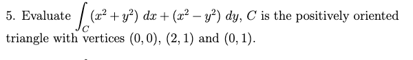
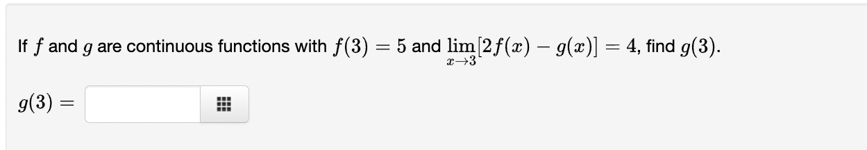
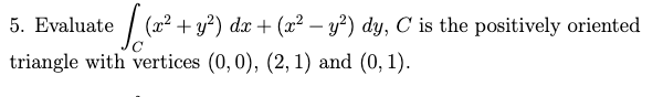
Mathematics Questions and Answers September 26, 2019

Expert-verified solutions to help you succeed

Showing 1000 - 1100 of 1504
  • 11 / 16