Mathematics Questions and Answers April 01, 2020

Expert-verified solutions to help you succeed

Showing 1200 - 1300 of 1501
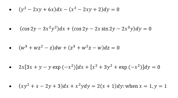
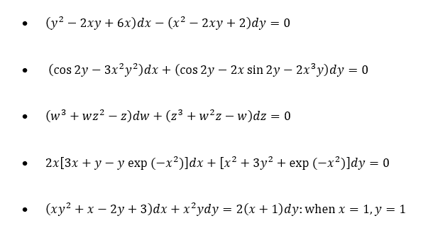
  • 13 / 16