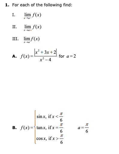
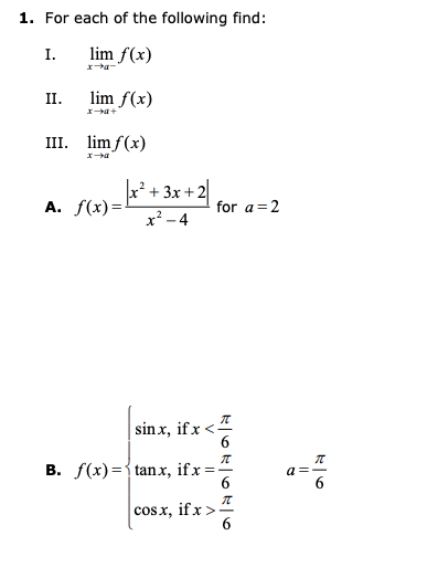
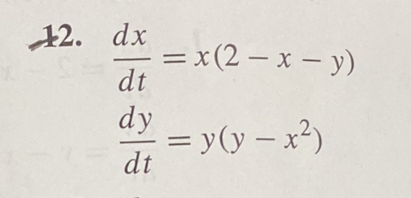
Mathematics Questions and Answers April 15, 2020

Expert-verified solutions to help you succeed

Showing 1300 - 1400 of 1500
  • 14 / 15