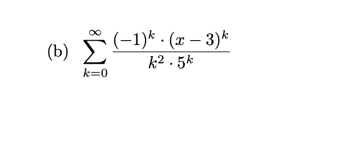
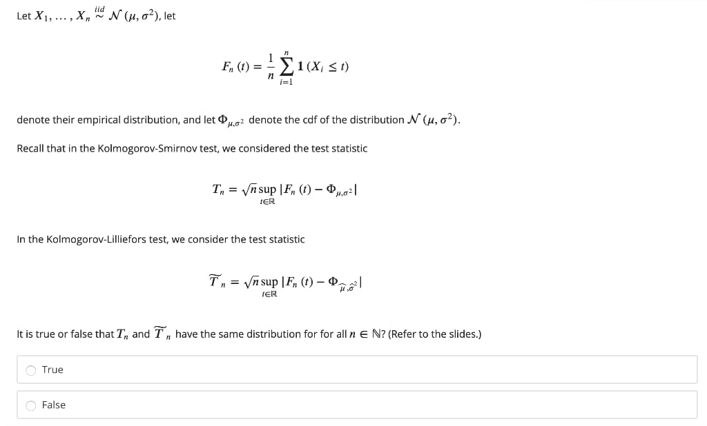
Mathematics Questions and Answers August 01, 2020

Expert-verified solutions to help you succeed

Showing 1000 - 1100 of 1501
  • 11 / 16