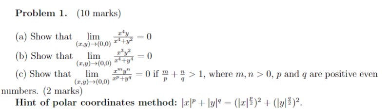
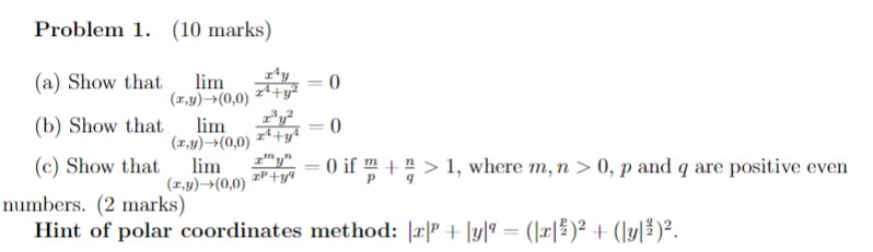
Mathematics Questions and Answers July 14, 2020

Expert-verified solutions to help you succeed

Showing 700 - 800 of 1500
  • 8 / 15