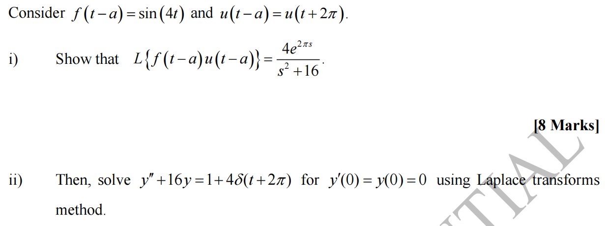
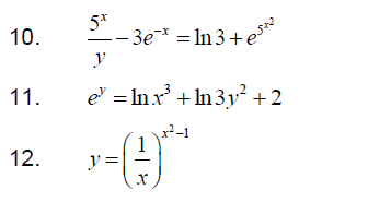
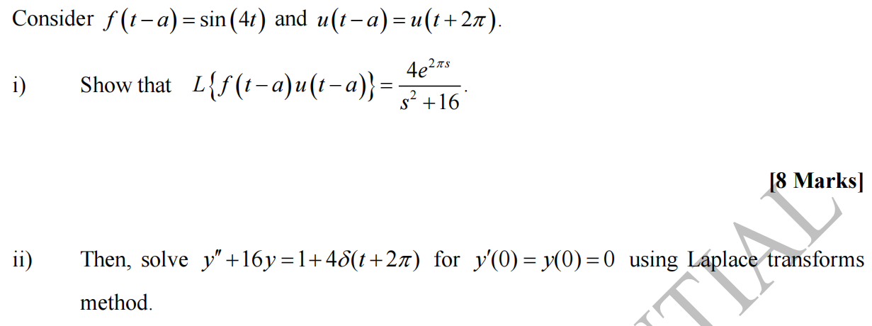
Mathematics Questions and Answers July 30, 2020

Expert-verified solutions to help you succeed

Showing 1400 - 1500 of 1500
  • 15 / 15