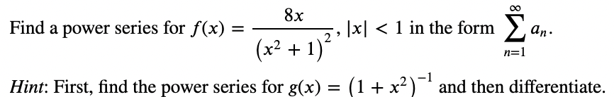
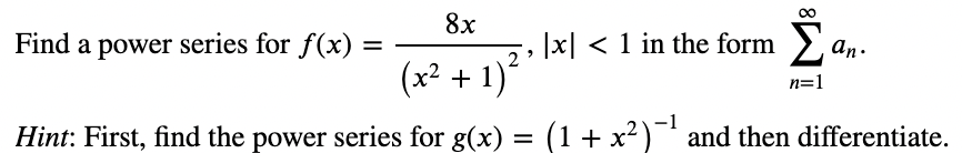
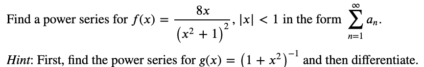
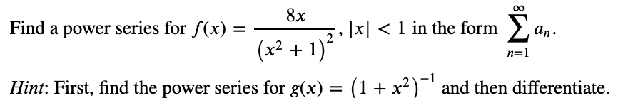
Mathematics Questions and Answers June 10, 2020

Expert-verified solutions to help you succeed

Showing 700 - 800 of 1500
  • 8 / 15