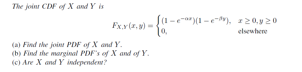
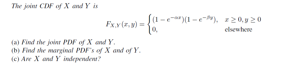
Mathematics Questions and Answers March 30, 2020

Expert-verified solutions to help you succeed

Showing 500 - 600 of 1501
  • 6 / 16