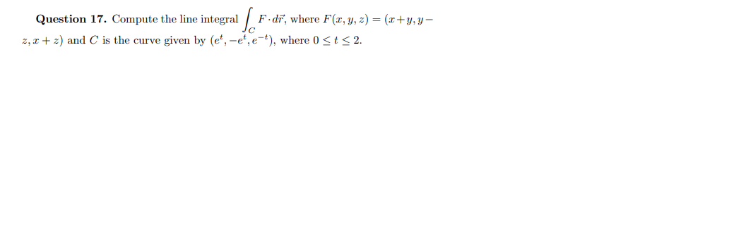
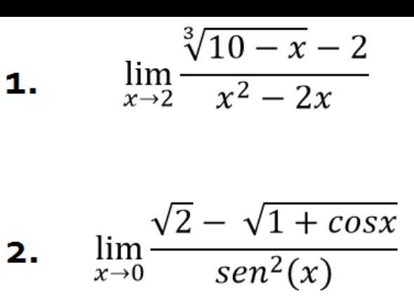
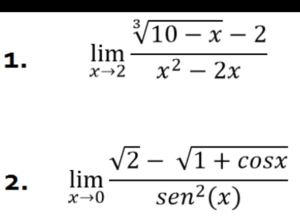
Mathematics Questions and Answers May 12, 2020

Expert-verified solutions to help you succeed

Showing 800 - 900 of 1502
  • 9 / 16