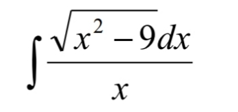
Question: Would you please help me evaluate this integral by integration using trigonometric substitution? Vx 9dx X 2 _9dx

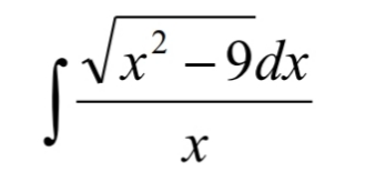
2 _9dx

Would you please help me evaluate this integral by integration using trigonometric substitution?

image text in transcribed

Vx 9dx X

2 _9dx

Step by Step Solution

There are 3 Steps involved in it

1 Expert Approved Answer
Step: 1 Unlock blur-text-image
Question Has Been Solved by an Expert!

Get step-by-step solutions from verified subject matter experts

Step: 2 Unlock
Step: 3 Unlock

Students Have Also Explored These Related Mathematics Questions!