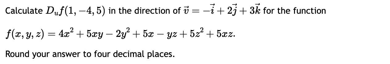
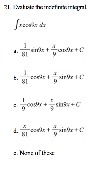
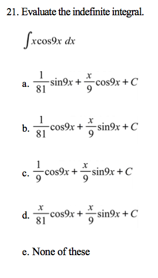
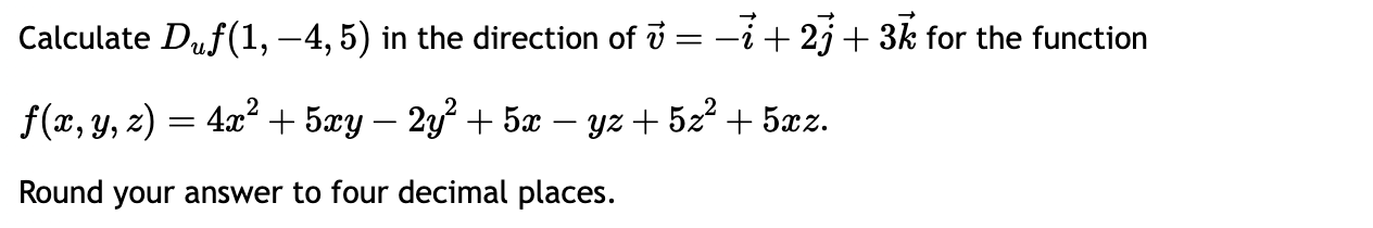
Mathematics Questions and Answers November 15, 2020

Expert-verified solutions to help you succeed

Showing 900 - 1000 of 1500
  • 10 / 15