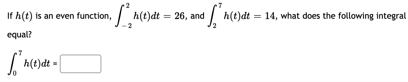
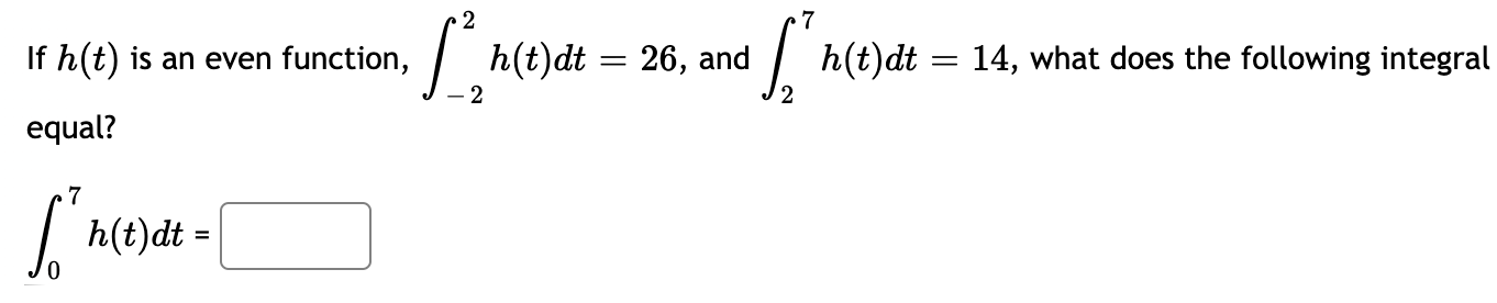
Mathematics Questions and Answers October 09, 2020

Expert-verified solutions to help you succeed

Showing 600 - 700 of 1503
  • 7 / 16