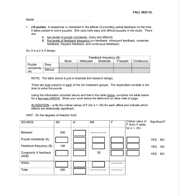
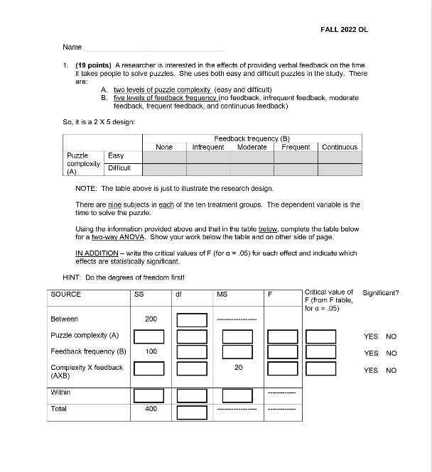
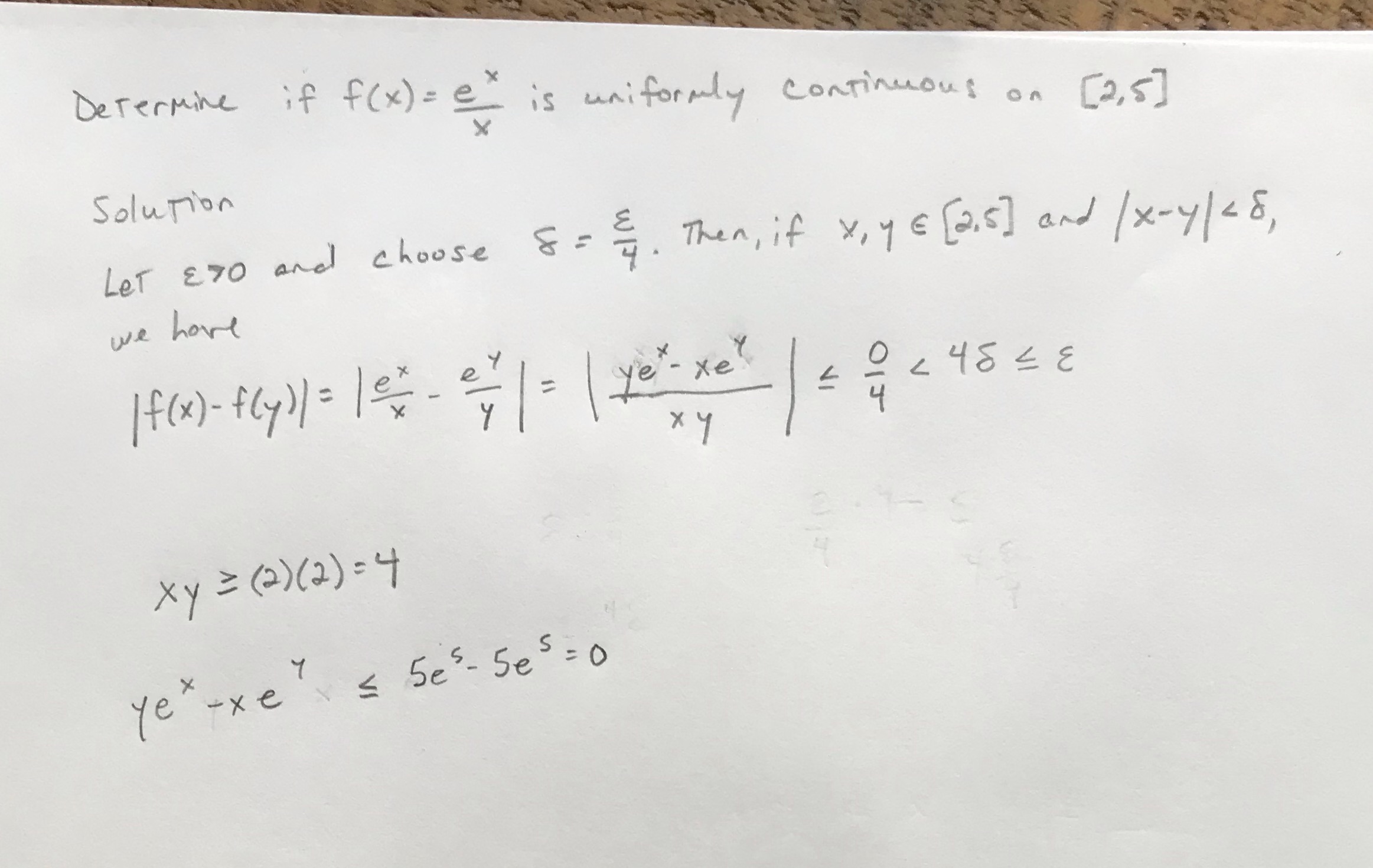
Mathematics Questions and Answers October 14, 2020

Expert-verified solutions to help you succeed

Showing 1400 - 1500 of 1502
  • 15 / 16