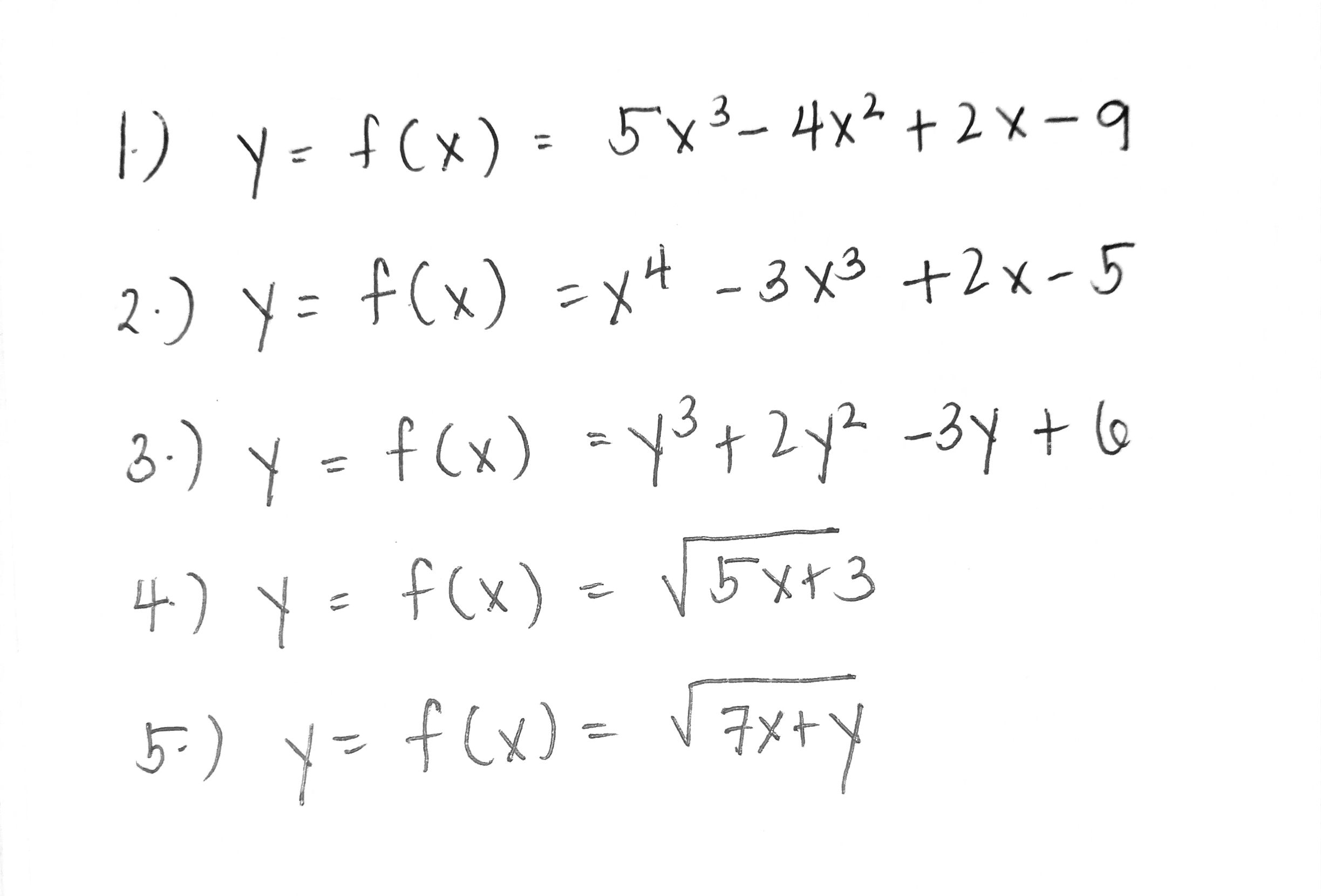
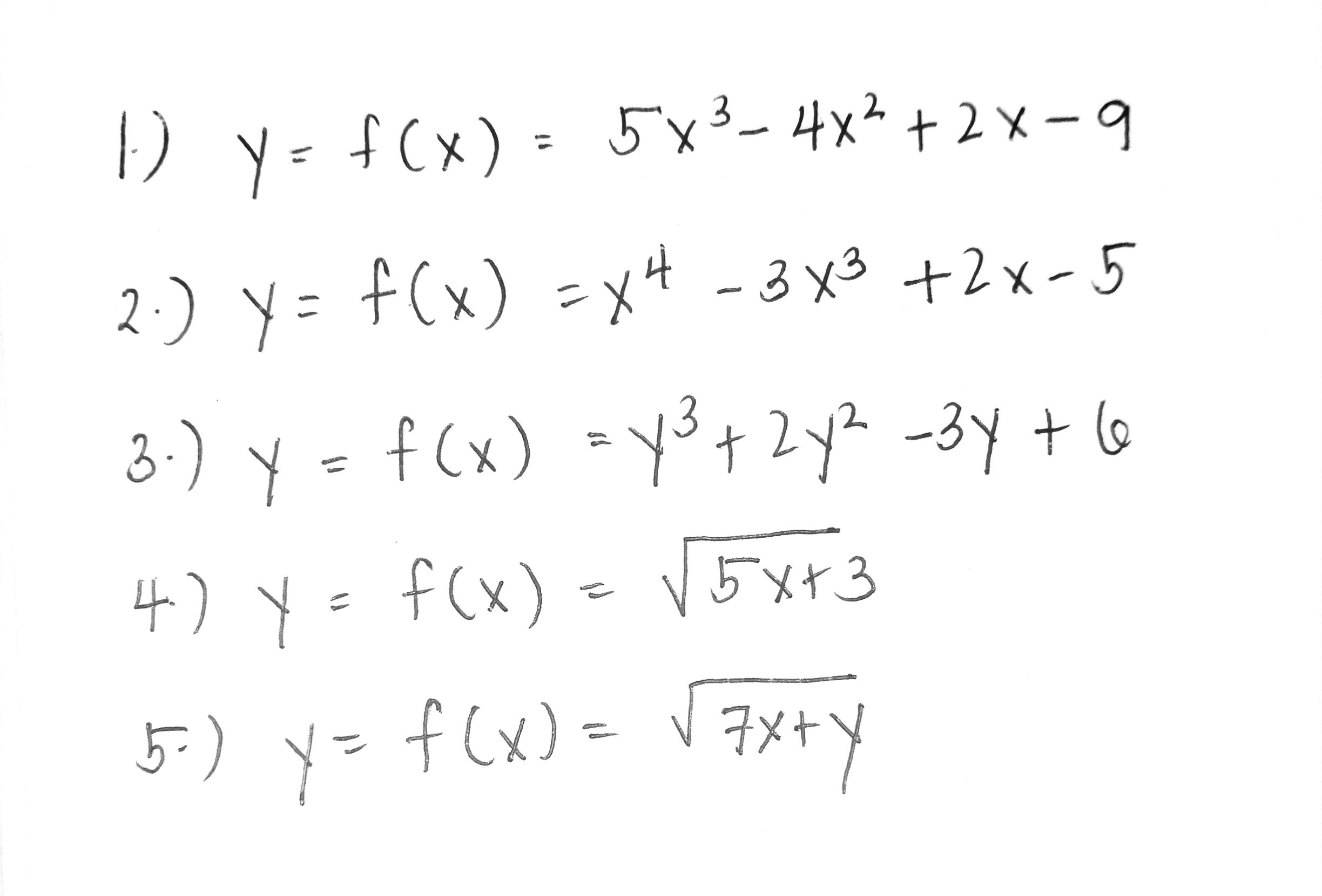
Mathematics Questions and Answers October 21, 2020

Expert-verified solutions to help you succeed

Showing 800 - 900 of 1504
  • 9 / 16