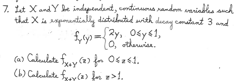
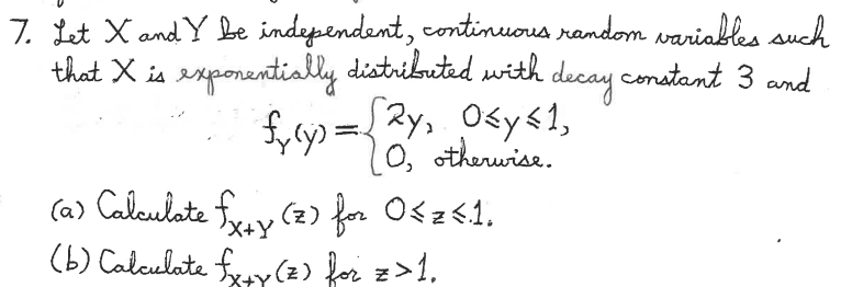
Mathematics Questions and Answers October 23, 2020

Expert-verified solutions to help you succeed

Showing 900 - 1000 of 1503
  • 10 / 16