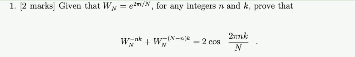
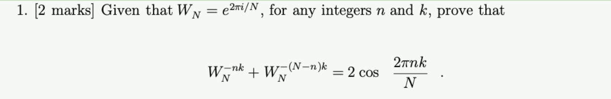
Mathematics Questions and Answers October 29, 2020

Expert-verified solutions to help you succeed

Showing 1000 - 1100 of 1502
  • 11 / 16