Mathematics Questions and Answers September 18, 2020

Expert-verified solutions to help you succeed

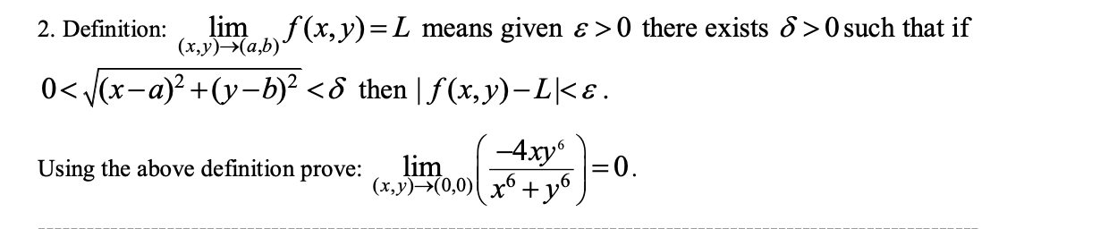
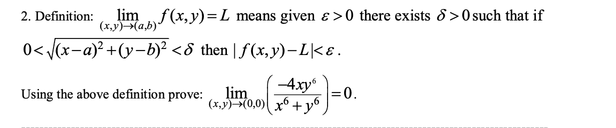
Showing 1300 - 1400 of 1501
  • 14 / 16