Mathematics Questions and Answers February 18, 2021

Expert-verified solutions to help you succeed

Showing 1200 - 1300 of 1500
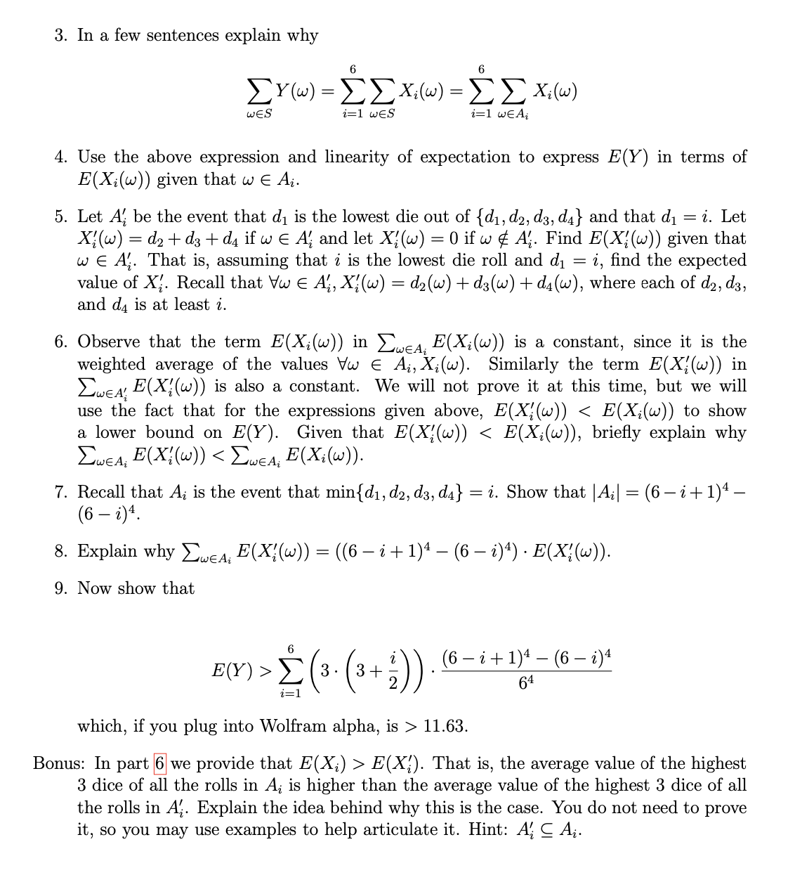
  • 13 / 15