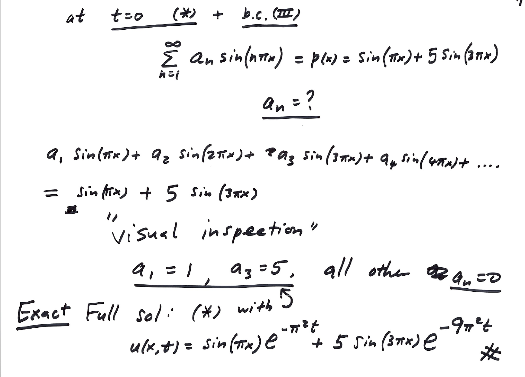
Mathematics Questions and Answers March 06, 2021

Expert-verified solutions to help you succeed

Showing 1300 - 1400 of 1503
  • 14 / 16