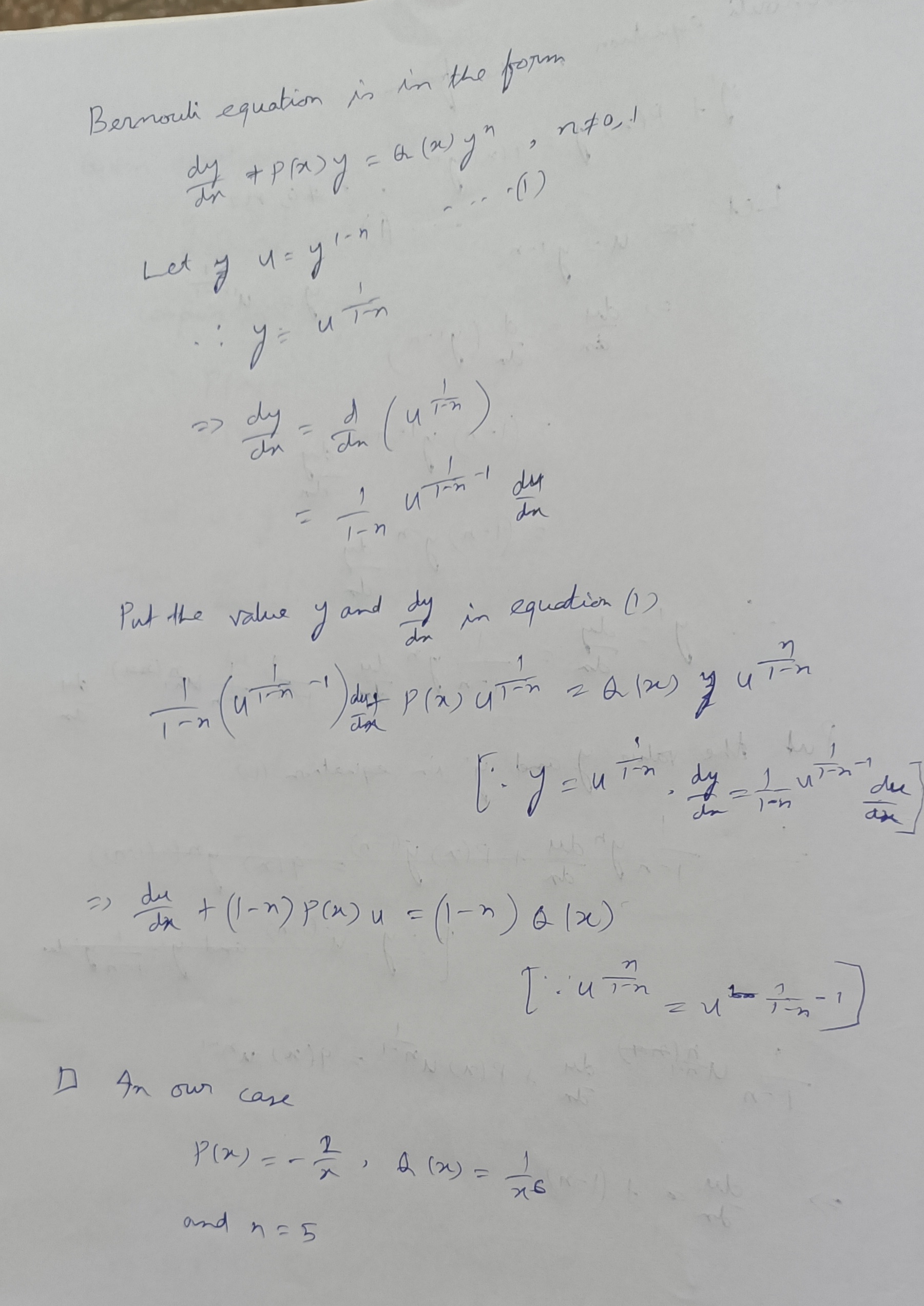
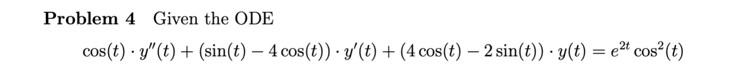
Mathematics Questions and Answers May 18, 2021

Expert-verified solutions to help you succeed

Showing 1200 - 1300 of 1503
  • 13 / 16