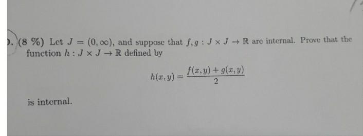
Mathematics Questions and Answers October 02, 2021

Expert-verified solutions to help you succeed

Showing 1200 - 1300 of 1425
  • 13 / 15