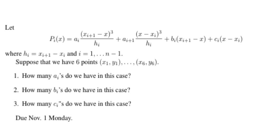
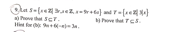
Mathematics Questions and Answers October 06, 2021

Expert-verified solutions to help you succeed

Showing 1000 - 1100 of 1343
  • 11 / 14