Mathematics Questions and Answers October 07, 2022

Expert-verified solutions to help you succeed

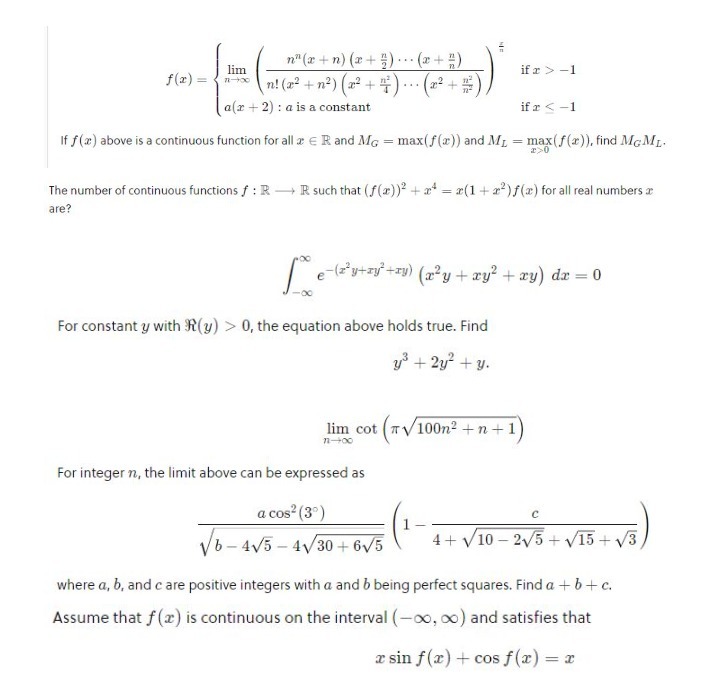
Showing 1200 - 1300 of 1512
  • 13 / 16