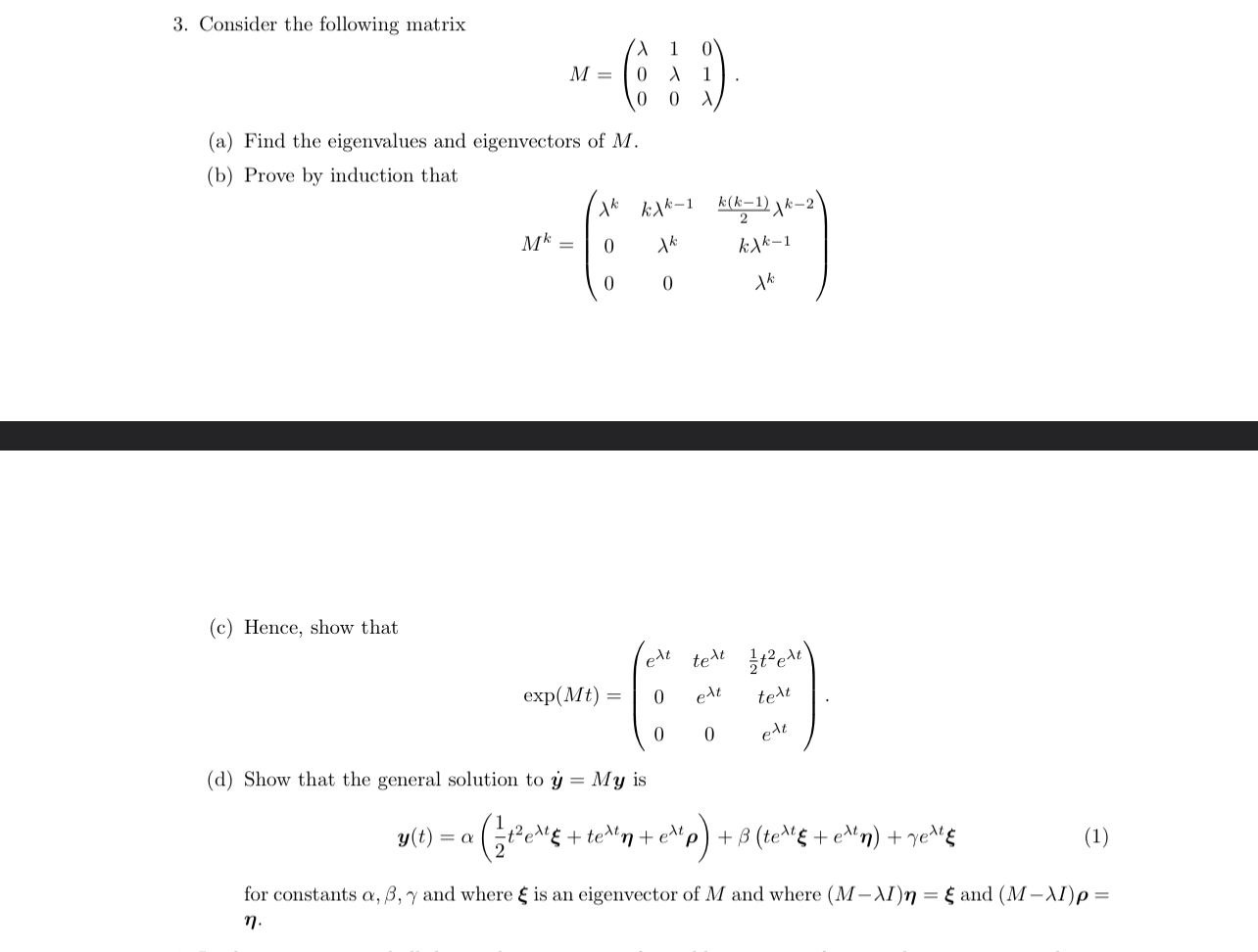
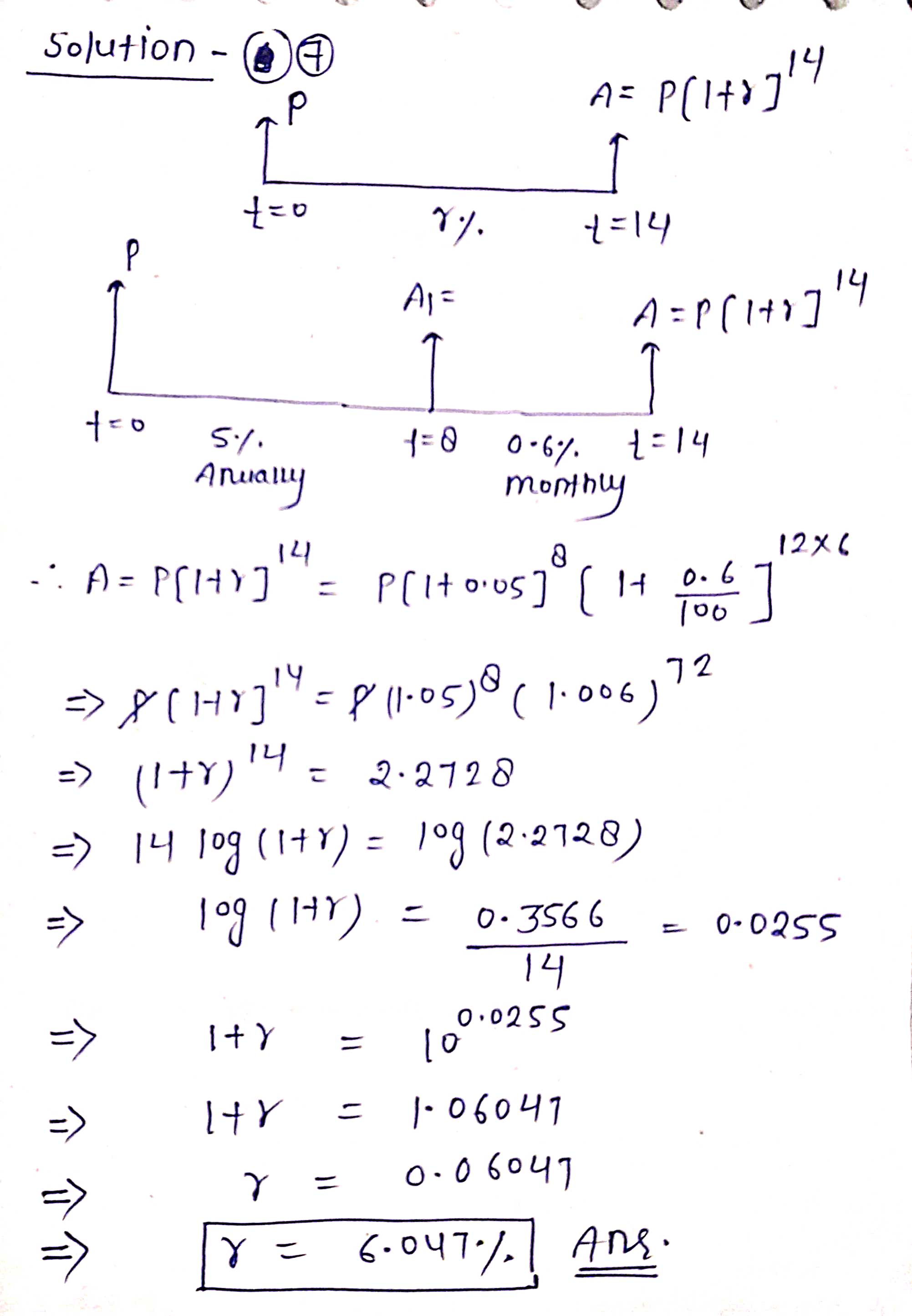
Mathematics Questions and Answers April 09, 2023

Expert-verified solutions to help you succeed

Showing 1200 - 1300 of 1499
  • 13 / 15