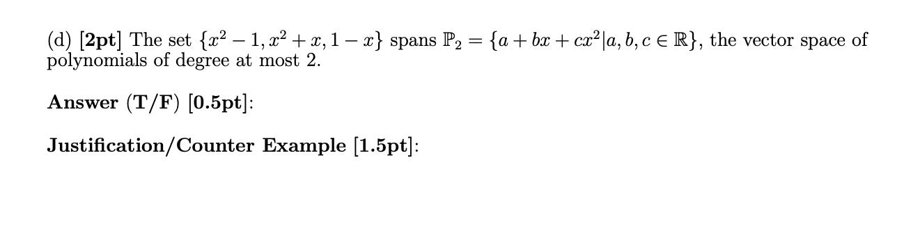
Mathematics Questions and Answers April 24, 2023

Expert-verified solutions to help you succeed

Showing 1100 - 1200 of 1494
  • 12 / 15