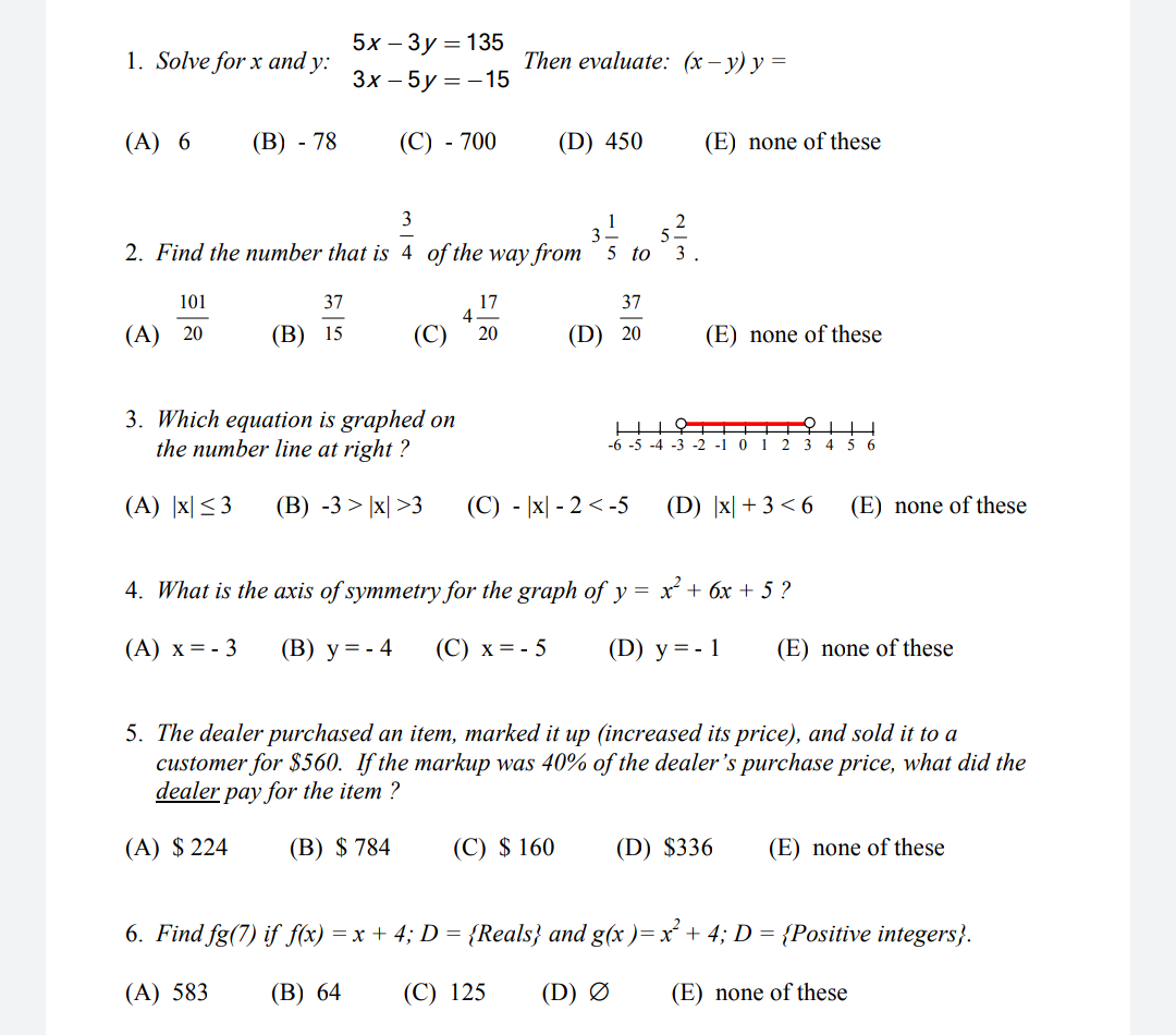
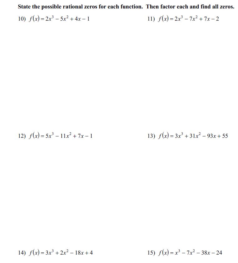
Mathematics Questions and Answers April 27, 2023

Expert-verified solutions to help you succeed

Showing 1200 - 1300 of 1514
  • 13 / 16