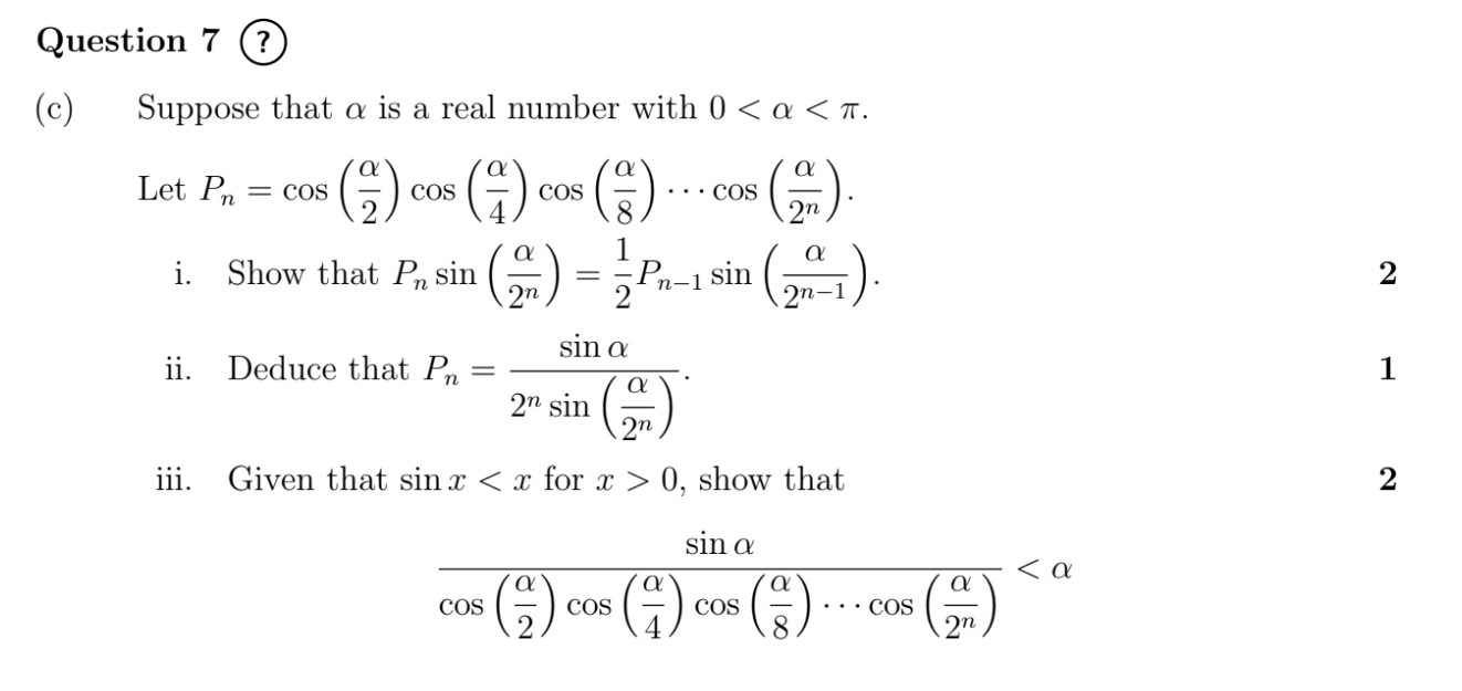
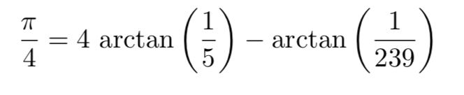
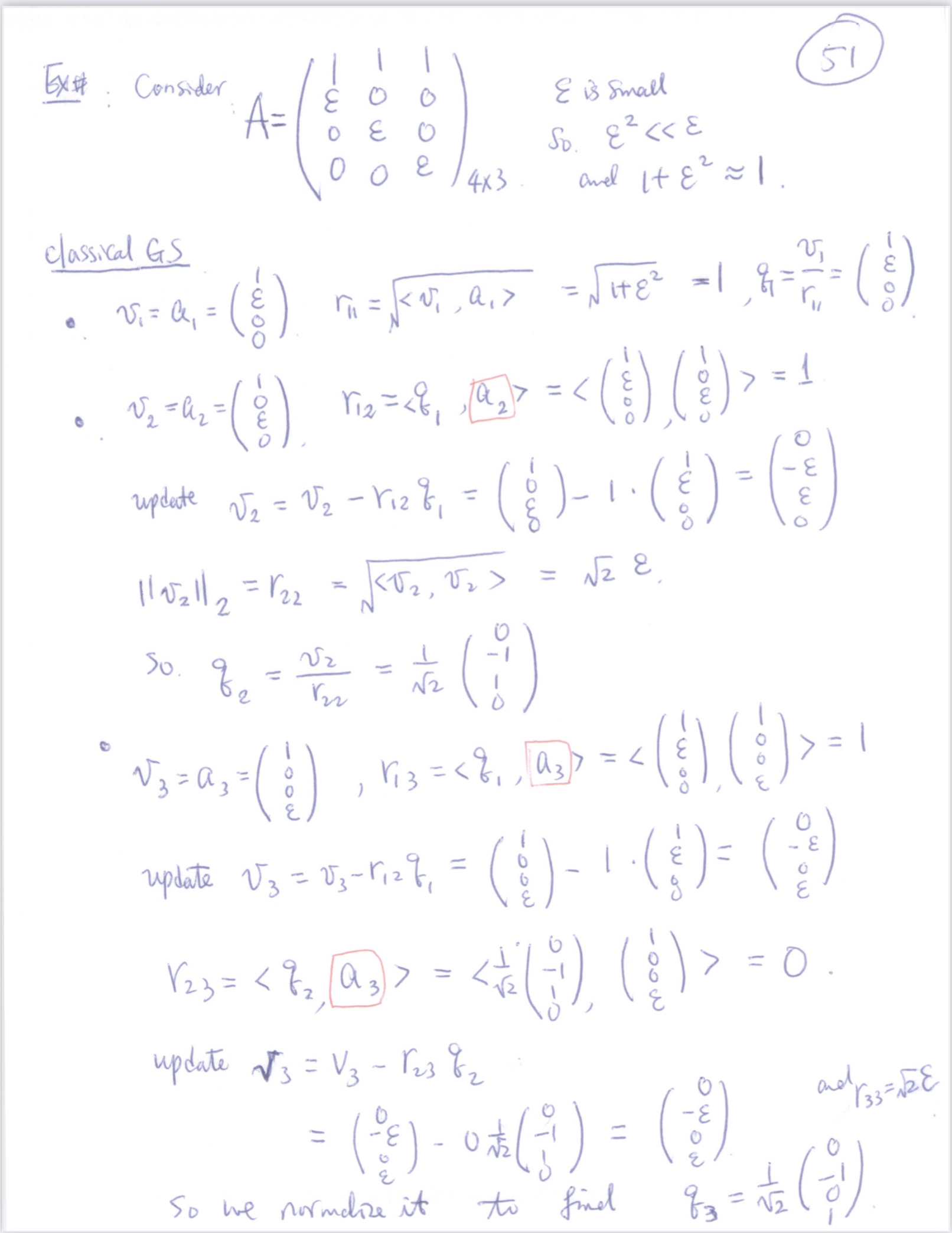
Mathematics Questions and Answers April 28, 2023

Expert-verified solutions to help you succeed

Showing 900 - 1000 of 1495
  • 10 / 15