Mathematics Questions and Answers April 28, 2023

Expert-verified solutions to help you succeed

Showing 1000 - 1100 of 1495
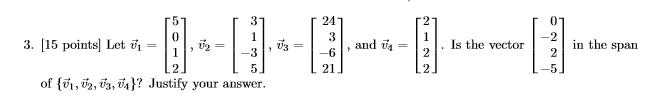
  • 11 / 15